Write a system of equations to describe the situation below, solve using substitution, and fillin the blanks.Cooper is starting a business selling handmade necklaces. He has decided to invest an initialamount of $24 for advertising, and materials cost $8 for each necklace he makes. Cooper cansell his creations for $14 per necklace. Once he makes and sells a certain number ofnecklaces, he will break even, with identical expenses and sales. What would the totalexpenses and sales be then? How many necklaces would that take?

Answers

Answer 1

Solution:

Given:

For expenses:

\(\begin{gathered} Total\text{ expenses}=advertising\text{ fee}+material\text{ cost} \\ Let\text{ the number of necklaces be represented by }x \\ Total\text{ expenses}=24+8x \end{gathered}\)

For sales:

\(\begin{gathered} \text{ \$14 per necklace} \\ Total\text{ sales}=14x \end{gathered}\)

At break-even, he will neither make profit nor loss.

At break-even, the expenses are equal to the sales.

Hence,

\(\begin{gathered} 24+8x=14x \\ Collecting\text{ the like terms,} \\ 24=14x-8x \\ 24=6x \\ Dividing\text{ both sides by 6 to get }x; \\ \frac{24}{6}=x \\ x=4\text{ necklaces} \end{gathered}\)

Hence,

\(\begin{gathered} Total\text{ expenses}=24+8x \\ Total\text{ expenses}=24+8(4) \\ Total\text{ expenses}=24+32 \\ Total\text{ expenses}=\text{ \$56} \\ \\ \\ Total\text{ sales}=14x \\ Total\text{ sales}=14(4) \\ Total\text{ sales}=\text{ \$}56 \end{gathered}\)

Therefore, at break-even, the total expenses will be $56 and the total sales will be $56.

It will take the sales of 4 necklaces to reach break-even.


Related Questions

The increasing on the intervals
The decreasing on the intervals

The increasing on the intervalsThe decreasing on the intervals

Answers

do you need the technical term? or the normal term? there’s multiple answers for both

Prove the following this:The number of left cosets of a subgroup is equal to the number of its right cosets?

Answers

To prove: The number of left cosets of a subgroup is equal to the number of its right cosets.

Proof: Let H be a subgroup of a group G. Let g be an element of G. Consider the map f: H→ gH defined by f(h) = gh for all h in H. We claim that f is a bijection from H to gH.

First, we show that f is injective. Suppose f(h1) = f(h2) for some h1, h2 in H. Then gh1 = gh2, which implies that h1 = h2, by left cancellation law. Therefore, f is injective.

Next, we show that f is surjective. Let gh be an element of gH. Then h is an element of G, since gH is a subset of G. Since H is a subgroup of G, it follows that gh is an element of gH. Therefore, f(h) = gh, which shows that f is surjective.

Hence, f is a bijection from H to gH. Therefore, the number of left cosets of H is equal to the number of right cosets of H.

A local hamburger shop sold a combined total of 486 hamburgers and cheeseburgers on Sunday. There were 64 fewer cheeseburgers sold than hamburgers. How many hamburgers were sold on Sunday?

Answers

Answer:

Step-by-step explanation:

h and c are the numbers of hamburgers and cheeseburgers, respectively.

“a combined total of 486 hamburgers and cheeseburgers”

h + c = 486

“64 fewer cheeseburgers sold than hamburgers”

c = h - 64

Substitution:

h + (h-64) = 486

2h = 550

h = 275

275 hamburgers were sold

Match each expression on the left with an equivalent expression on the right. Not all of the options on the right will be used.
361,000
1,400
100 x 14
14(10)
361 - 1000
100(361)
36, 100
14,000
3,610
140

Match each expression on the left with an equivalent expression on the right. Not all of the options

Answers

On solving the provided question, we can say that  on matching the expressions are 100X 14 = 1400 and 14(10) = 140 and 361 . 100 = 36100 and 100(361) = 36100

what is expression ?

In mathematics, it is possible to multiply, divide, add, or remove. The construction of an expression is as follows: Expression, number, and mathematical operator Numbers, variables, and functions are the building blocks of a mathematical expression (such as addition, subtraction, multiplication or division etc.) Expressions and phrases can be contrasted. Any mathematical statement with variables, numbers, and an arithmetic operation between them is called an expression or an algebraic expression. For instance, the expression 4m + 5 has the terms 4m and 5 as well as the variable m of the supplied expression, all of which are separated by the arithmetic sign +.

so, on matching the expressions are

100X 14 = 1400

14(10) = 140

361 . 100 = 36100

100(361) = 36100

To know more about expressions visit :-

https://brainly.com/question/14083225

#SPJ1

derek borrowed at 10% per annum coumpounded quarterly. how much money he repay after 5 years

Answers

The total amount Derek repaid after 5 years of quarterly payments at 10% per annum is $12,829.40.

How are the quarterly payments determined?

The quarterly payments represent periodic payments made every three months to offset the credit.

The periodic payments can be computed using an online finance calculator.

Where the periodic payment is given, the total payment made can be determined as the product of the periodic payments and the number of periods involved.

N (# of periods) = 20 quarters (5 years x 4)

I/Y (Interest per year) = 10%

PV (Present Value) = $10,000

PMT (Periodic Payment) = $-641.47

Results:

FV = $-0.03

Sum of all periodic payments = $-12,829.40

Total Interest = $2,829.43

Learn more about periodic payments at https://brainly.com/question/29481482

#SPJ1

Question Completion:

Derek borrowed $10,000 at 10% per annum compounded quarterly and repays $641.47 quarterly.  How much money did he repay after 5 years?

What is the factored form of this expression?
x^9 - 1,000

What is the factored form of this expression? x^9 - 1,000

Answers

Answer:

B. (x³ - 10)(x⁶ + 10x² + 100)

What is the factored form of this expression? x^9 - 1,000

Answer:

B

Step-by-step explanation:

(x³ - 10)(x^6 + 10x³+ 100)

x^9 + 10x^6 + 100x³ - 10x^6 - 100x³ - 1000

x^9 - 1000

Mark records his science scores in each monthly assessment over a period of 5 months. In the first assessment he scores 76%. In the second assessment he scores 73%. After that, his scores keep increasing by 2% in every assessment. Assume that x represents the number of assessments since he starts recording and y represents the scores in each assessment.

A. both a relation and a function
B. a function only
C. a relation only
D. neither a function nor a relation

Answers

d. both a relation and a function:

Given:

Mark records his science scores in each monthly assessment over a period of 5 months. In the first assessment he scores 76%. In the second assessment he scores 73%. After that, his scores keep increasing by 2% in every assessment.

x represents the number of assessments since he starts recording and y represents the scores in each assessment.

In order for a relation to be a function the association has to be unambiguous that means that for a given input only one output can exist.If an input can have two or more outputs then you cannot determine which is the correct output for that input.

In the given situation:

x is the input that is number of assessments since mark starts recording the scores so there is only one assessment no repeating.so there is only one output.

Hence the relation is a function.

Learn more about the function here:

https://brainly.com/question/5975436

#SPJ1

there is a right triangle abc, where

Answers

If the sum of the squares on its other two sides equals the square of its greatest side.

Given:

AB = 9 cm CB = 40 cm AC = 41 cm

The Pythagorean Theorem states that

If the largest side's square is equal to the sum of the squares on the other two sides, the triangle will have a right angle.

AB = 9 cm CB = 40 cm AC = 41 cm

The Pythagorean Theorem states that

AC 2 =BC² +AB ²

41²=40²+9²

41 ²=40 ² +9 ²

1681 = 1600 + 81

1681 = 1681

Know more about Triangle

https://brainly.com/question/12958147

#SPJ4

The question is incomplete

Show that the triangle ABC is a right-angled triangle; if:

AB = 9 cm, BC = 40 cm, and AC = 41 cm.


The area of a rectangular mirror is 8 15/16 square feet. The width of the mirror is 2 3/4 feet. If
there is a 4 foot tall space on the wall to hang the mirror, will it fit?

Answers

Answer:

yes  

Step by-step explanation:

it will take up 8 12/16 space and the wall has 8 15/16

How many different ways are there to arrange the letters A, B, A, and B?

6
4
16
8

Answers

Therefore , the solution of the given problem of unitary method comes out to be the letters A, B, A, and B can thus be arranged in six distinct ways.

Unitary method : What is it?

Using what was learned, utilising this varied approach, and combining all crucial factors from prior researchers who employed a certain methodology can enable completion of the assignment. The entity indicated in the proposition can then either also be discovered or both crucial processes will definitely miss the expression if the desired claim outcome occurs. A refundable prepayment of Rupees ($1.21) may be needed for fifty pens.

Here,

The following formula can be used to create permutations of n objects with repeats of k1, k2,..., kr objects of each type:

=> n!/(k1! * k2! * ... * kr!)

We have two different object kinds (A and B) here, both of which are repeated twice. As a result, we have:

n = 4 (the total number of things) (the total number of objects)

=>k1 = k2 = 2 (the number of objects of each category) (the number of objects of each type)

The result of the formula is:

=> 4!/(2! * 2!) = 24/(2 * 2) = 6

The letters A, B, A, and B can thus be arranged in six distinct ways.

To know more about unitary method  visit:

https://brainly.com/question/28276953

#SPJ1

For each value of u determine whether it is a solution to -2u-6<-20

Answers

Answer:

u > 7

Step-by-step explanation:

-2u -6 < -20  Add 6 to both sides

-2u - 6 + 6 < -20 + 6

-2u < -14  Divide both sides by -2.  When you multiply or divide both sides by a negative number, you must flig the sign.

\(\frac{-2u}{-2}\) > \(\frac{-14}{-2}\)

u > 7

Helping in the name of Jesus.

The answer is:

u > 7

In-depth explanation:

You haven't told me what the values of u are, but I'll solve the equation for u.

Add 6 on each side:

\(\bf{-2u-6 < -20}\)

\(\bf{-2u < -14}\)

Divide each side by -1 and reverse the sign:

\(\bf{2u > 14}\)

Now divide each side by 2

\(\bf{u > 7}\)

What is 84/5 divided by 4 =

Answers

THe answer is, \(21/5\)

And in decemal form it will be, \(4.2\)

Please help me with this question.

Please help me with this question.

Answers

The matrix products are given as follows:

a. AB = [58 -6 24]

        [18 63 45]

        [-22, -39, -33]

b. BA = [32 -26]

            [10 56]

The addition A + B is not possible to obtain, the matrices have different dimensions.

How to multiply the matrices?

The dimensions of each matrix are given as follows:

A = 3 x 2.B = 2 x 3.

Hence the dimensions of each product are given as follows:

AB = 3 x 3.BA = 2 x 2.

To multiply matrices, the rows of the first are multiplied by the columns of the second, hence matrix AB is obtained as follows:

Row 1, column 1: -7(-6) + 4(4) = 58.Row 1, column 2: -7(-2) + 4(-5) = -6.Row 1, column 3: -7(-4) + 4(-1) = 24.Row 2, column 1: -9(-6) - 9(4) = 18.Row 2, column 2: -9(-2) - 9(-5) = 63.Row 2, column 3: -9(-4) - 9(-1) = 45.Row 3, column 1: 7(-6) + 5(4) = -22.Row 3, column 2: 7(-2) + 5(-5) = -39.Row 3, column 3: 7(-4) + 5(-1) = -33.

Hence the matrix AB is given as follows:

AB = [58 -6 24]

        [18 63 45]

        [-22, -39, -33]

Matrix BA is obtained as follows:

Row 1, Column 1: -6(-7) - 2(-9) - 4(7) = 32.Row 1, Column 2: -6(4) - 2(-9) - 4(5) = -26.Row 1, Column 1: 4(-7) - 5(-9) - 1(7) = 10.Row 1, Column 2: 4(4) - 5(-9) - 1(5) = 56.

Hence the matrix BA is given as follows:

BA = [32 -26]

        [10 56]

More can be learned about multiplication of matrices at brainly.com/question/24274686

#SPJ1

-2a-6a-9=-9-6a-2a
help please g

Answers

Answer:

the solution to the equation -2a - 6a - 9 = -9 - 6a - 2a is all real numbers, or (-∞, +∞).

Step-by-step explanation:

To solve this equation for "a", you need to simplify and rearrange the terms so that all the "a" terms are on one side of the equation and all the constant terms are on the other side. Here are the steps:

Start by combining the "a" terms on the left side of the equation: -2a - 6a = -8a. The equation now becomes: -8a - 9 = -9 - 6a - 2a.

Combine the constant terms on the right side of the equation: -9 - 2a - 6a = -9 - 8a. The equation now becomes: -8a - 9 = -9 - 8a.

Notice that the "a" terms cancel out on both sides of the equation. This means that the equation is true for any value of "a". Therefore, the solution is all real numbers, or in interval notation: (-∞, +∞).

In summary, the solution to the equation -2a - 6a - 9 = -9 - 6a - 2a is all real numbers, or (-∞, +∞).

Can you please help me

Can you please help me

Answers

Answer:

first graph

Step-by-step explanation:

x > n

the graph will have an open circle at the value n , indicating that x cannot equal n ( note solid circle if x ≥ n )

the arrow from n will point in the right direction, indicating values of x greater than n.

the graph representing x > n is the first graph

How to do bad debt expense?

Answers

Could you further explain the question?

5x-3(-5y+6x) +4y i need help please

Answers

To simplify the expression \(\displaystyle\sf 5x-3(-5y+6x)+4y\), we can follow the order of operations, which involves simplifying the expressions within parentheses, applying the distributive property, and combining like terms.

Using \(\displaystyle\sf \) tags for formatting, the expression becomes:

\(\displaystyle\sf 5x-3(-5y+6x)+4y\)

First, we simplify the expression within the parentheses:

\(\displaystyle\sf 5x-3(-5y+6x)+4y\)

\(\displaystyle\sf 5x+15y-18x+4y\)

Next, we can combine the like terms:

\(\displaystyle\sf 5x-18x+15y+4y\)

\(\displaystyle\sf -13x+19y\)

Therefore, the simplified expression is \(\displaystyle\sf -13x+19y\).

\(\huge{\mathfrak{\colorbox{black}{\textcolor{lime}{I\:hope\:this\:helps\:!\:\:}}}}\)

♥️ \(\large{\underline{\textcolor{red}{\mathcal{SUMIT\:\:ROY\:\:(:\:\:}}}}\)

Can you help me solve this?

Can you help me solve this?

Answers

The required composite value f(g(-8) is 28

A composite function is a function inside another function. Given the following functions

f(x) = x² - 3x - 12

g(x) = -x - 12

Required composite function is f(g(-8))

First we need to get f(g(x))

f(g(x)) = f(-x-12)

f(-x-12) =  (-x-12)² - 3x - 12

Expand

f(-x-12) = x² +24x + 144 - 3x - 12

f(-x-12) = x² +21x + 132

f(g(x)) = x² +21x + 132

Substitute x = -8 into the result

f(g(-8)) = (-8)² +21(-8) + 132

f(g(-8)) = 64 - 168 + 132

f(g(-8)) = 28

Hence the required composite value f(g(-8) is 28

Learn more here : https://brainly.com/question/3256461

Choose the definition for the function.
A.
C.
4x
2x + 2
-
43 2
73
2x - 2
-x-4
if x < 0
if x ≥ 0
if x < 0
if x > 0
B.
D.
2x + 2
-x+4
-x + 4
2x + 2
if x ≤ 0
if x > 0
if x < 0
if x > 0
Enter

Choose the definition for the function.A.C.4x2x + 2-43 2732x - 2-x-4if x &lt; 0if x 0if x &lt; 0if x

Answers

The piecewise function for this problem is defined as follows:

B.

y = 2x + 2, x ≤ 0.y = -4/3x + 4, x > 0.

How to define the function?

The function is a piecewise function, as the function has different definitions based on the input of the function.

The different definitions for the graph are given as follows:

Left of x = 0. (closed). Right of x = 0. (open).

To the left of x = 0, we have a linear function with intercept of 2 and slope of 2, hence it is given as follows:

y = 2x + 2, x ≤ 0.

To the right of x = 0, we have a linear function with intercept of 4 and slope of -4/3, hence it is given as follows:

y = -4/3x + 4, x > 0.

More can be learned about piecewise functions at https://brainly.com/question/30348444

#SPJ1

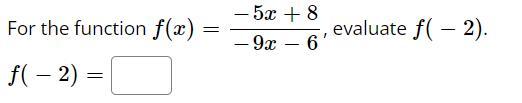
for the functions f(x)

for the functions f(x)

Answers

Answer:

3/2

Step-by-step explanation:

\(f(-2)=\frac{-5(-2)+8}{-9(-2)-6} \\ \\ =\frac{18}{12}=\frac{3}{2}\)

If cosθ = 0.2, find the value of cosθ + cos (θ + 2π) + cos (θ + 4π)

Answers

We know that cos(θ + 2π) = cosθ and cos(θ + 4π) = cosθ.

Therefore,

cosθ + cos(θ + 2π) + cos(θ + 4π)
= cosθ + cosθ + cosθ
= 3cosθ

Substituting cosθ = 0.2, we get:

cosθ + cos(θ + 2π) + cos(θ + 4π) = 3cosθ = 3(0.2) = 0.6

Therefore, cosθ + cos(θ + 2π) + cos(θ + 4π) = 0.6.

Cómo convertir 3000m a km

Answers

Answer:

Step-by-step explanation:

1000m = 1km

So 3000m = 3km

3.6= − a/0.8 − 1.6 − 0.8 a ​ −1.6

Answers

The value of a for the given expression will be -3.31.

What is an expression?

The mathematical expression combines numerical variables and operations denoted by addition, subtraction, multiplication, and division signs.

Mathematical symbols can be used to represent numbers (constants), variables, operations, functions, brackets, punctuation, and grouping. They can also denote the logical syntax's operation order and other properties.

Given that the expression is 3.6= − a/0.8 − 1.6 − 0.8 a ​ −1.6. The value of a will be calculated as below,

3.6 = − a/0.8 − 1.6 − 0.8 a ​ −1.6

3.6 + 1.6 + 1.6 = -a / 0.8  - 0.8a

6.8 = ( -a - 0.64a ) / 0.8

5.44 = -1.64a

a = -3.31

Therefore, the value of a will be -3.31.

To know more about an expression follow

https://brainly.com/question/388367

#SPJ1

23. Evaluate a(b + c) if a = 2, b = 3, and c = 4.
Simplify:

Answers

The value of the expression a(b + c) when a = 2, b = 3, and c = 4 is 14.

What is the value of the expression a(b + c) if a = 2, b = 3, and c = 4?

Given the expression in the question:

a( b + c )

Also, a = 2, b = 3, and c = 4

To evaluate the expression a( b + c ) when a = 2, b = 3, and c = 4, we substitute these values into the expression:

Hence:

a( b + c )

Plug in a = 2, b = 3, and c = 4

2( 3 + 4 )

First, we simplify the parentheses by adding 3 and 4:

2( 7 )

Next, we multiply 2 and 7:

14

Therefore, the value of a(b + c) is 14 .

Learn more about algebraic expressions here: https://brainly.com/question/28959918

#SPJ1

5. Vivian is going to build some planter boxes with dimensions as shown: a) The boxes have wooden sides and base, and no top. Calculate the surface area of each box. 0.2 m 0.5 m 0.3 m​

Answers

The surface area of each box is 0.52 square meters.

How to calculate a rectangular box?

To calculate the surface area of ​​an orthohedron with 6 rectangular faces, add the areas of the 6 faces together. You can also identify the length (c), width (l) and height (a) of the orthohedron and use the formula: surface area (AS)=2cl+2ca+2al.

Knowing that:

Length (L) = 0.2 mWidth (W) = 0.5 mHeight (H) = 0.3 m

Using the formula :

\(2 * (L * H) + 2 * (W * H)\)

Substituting the values:

\(2 * (0.2 * 0.3) + 2 * (0.5 * 0.3) = 0.12 + 0.3 = 0.42\)

Now, the surface area of the base:

\(L * W\\0.2 * 0.5 = 0.1\)

The total surface will be:

\(0.42 + 0.1 = 0.52\)

Therefore, the surface area of each planter box is 0.52 square meters.

See more about area at brainly.com/question/1631786

#SPJ1

The area of a square is 36 sq.cm, then its perimeter is a) 24 cm b) 6 cm c) 144 cm d) 36 cm​

Answers

Answer:

a

Step-by-step explanation:

the perimeter (P) of a square is the sum of the 4 congruent sides.

the area of a square is calculated as

area = s² ( s is the length of a side )

here area is 36 , then

s² = 36 ( take square root of both sides )

s = \(\sqrt{36}\) = 6

then

P = 4s = 4 × 6 = 24 cm

Toby eats tacos every 5 days. Toby also drinks horchata every 6 days. If Toby has horchata and tacos today how many days will he have too wait to enjoy his favorite treats on the same day again?

Answers

We are given the following information

Toby eats tacos every 5 days.

Toby also drinks horchata every 6 days.

If Toby has horchata and tacos today how many days will he have to wait to enjoy his favorite treats on the same day again?

We need to find the least common multiple (LCM) of 5 and 6 days.

Multiples of 5 = 5, 10, 15, 20, 25, 30

Multiples of 6 = 6, 12, 18, 24, 30

As you can see, the least common multiple (LCM) of 5 and 6 is 30

Therefore, Toby has to wait for 30 days to enjoy his favorite treats on the same day again.

100 students are interviewed to see which of biology, chemistry or physics they prefer.
59 of the students are girls. 35 of the girls like biology best.
2 of the boys prefer physics.
6 out of the 30 who prefer chemistry are girls.
What percentage of the students prefer biology?

Answers

Answer:

50%

Step-by-step explanation:

Girls                                            Boys

total:                 59                     total:                              41

- Chemistry       35                   - Physics                           2

                       = 24                                    =                     39

                                                 - Chemistry ( 30 - 6 )      24

                                                                   =                     15

Total boys and girls for Biology = 35 + 15 = 50

% = 50/100*100

   = 50%

Hope it helps and also mark it as brainliest!!!!

What is the answer to this?

What is the answer to this?

Answers

Answer:

B

Step-by-step explanation:

x + 3y = 2 → (1)

4x - 3y = 23 → (2)

adding (1) and (2) term by term will eliminate y

(x + 4x) + (3y - 3y) = 2 +  23

5x + 0 = 25

5x = 25 ( divide both sides by 5 )

x = 5

What’s the square root of √125

Answers

Answer: \(5\sqrt 5\)

Step-by-step explanation:

Sol \(\sqrt 125\) = \(\sqrt{25.5}\)

= \(\sqrt{25}\)  x  \(\sqrt{5}\)

\(5 \sqrt{5}\)

Other Questions
Find two consecutive even integers such that twice the second is the same as 186 less than the first integer. Tonya often becomes upset over daily stressors. More than most people, she experiences such emotions as sadness, anger and anxiety. This description of Tonya is best accounted for by which of the factors in the five-factor model The volume of a sphere is 4,500 cubic yards. What is the radius of the sphere? The following statistics represent weekly salaries at the Midtown Construction Company. Median $590 First quartile $560 Third quartile $625 Mode $580 83rd percentile $665 What is the most common salary? Exercise 4 Complete each sentence by adding an adverb that answers the question indicated.Hawks and eagles fly ____________ higher than almost any other birds. (how?) Dorian buys 2 pounds of almonds for $21.98 and 3 pounds of dried apricots for $26.25. Which is less expensive per pound? How much is less expensive? If x = 4, solve for y.y = 6 x 2^x y = [?] In the early 1900s, many of the rich, the big businessmen, and the racially priviledged justifiedthe inequality with the underpriviledged because the former were born "better" than others.We call this "survival of the fittest."What is the theory?MercantilismAssimilationSocial DarwinismMarxim (True or False) the body's adipostat utilizes a negative feedback mechanism that maintains a certain amount of adipose tissue. Select the correct answer.Maslow's Hierarchy of Needs includes the need for:A. Self-esteemB. Self-blameC. Self-actualizationD. All of the above Which of the following is characteristic of the classic aging pattern using the WAIS? a. increases in performance on verbal measures and steady declines on performance scales b. almost imperceptible declines in performance and verbal measures, but steep declines in analytics and mathematicsc. steady, steep drops on performance and verbal measures d. very slight drops on verbal measures and steeper drops on performance scales 1. What was Johnny's reaction to the news about Lexington? Question 181 ptsWhich of the following is not among the pollutants comprising wildfire smoke?O carbon monoxideO PM2.5O Ozone O combustion PMO all are components of wildfire smokeQuestion 191 ptsWhich value is closest to the number concentration of ultrafine particles typically measured across Los Angeles? (units are # of particles per cubic centimeter)O 10,000O 1000O 100O 10O 20 Ace of Pentacles Meaning T/F If one assumes that communication is flowing as intended, one tends to move on with the dialog without allowing feedback to indicate whether clarity of expression and communication has been achieved. ou've created books.txt, a text file that includes names of some books, one per line. to display the contents of the file from a to z, you need to enter: sort books.txt (True or False) Exercise 1 Insert a question mark if the sentence is interrogative, or an exclamation point if the sentence is exclamatoryWhere are the tryouts for the play held ? The locomotor system includes which two systems? Which of the following questions whose answer would be Il y a un livre is worded correctly? A. Est-ce que il y a un livre? B. Est-ce qu'il y a un livre? C. Y a un livre? D. A-t-il un livre? What is the main argument against lifetime appointments for judges?