Work out the equation of the line which passes through the point (-1,2)
and is parallel to the line y = x + 4.

Answers

Answer 1

Answer:

m = 1 (since the gradient of parallel lines is the same)

Then substitute point (-1;2)

C = 3

y = x+3

Work Out The Equation Of The Line Which Passes Through The Point (-1,2)and Is Parallel To The Line Y

Related Questions

Conduct a survey based on the topic below and write a research report. You are required to collect, represent, analyse, interpret and report the data. The number of coins that teachers carry with them • ​

Answers

Research Report:

Title: The Number of Coins Carried by Teachers

Introduction:

This research report aims to investigate the number of coins carried by teachers. The study seeks to understand the reasons behind carrying coins and whether there are any patterns or correlations between the number of coins and certain factors such as age, gender, and occupation.

The data was collected through a survey distributed among teachers from various educational institutions. The findings of this study provide insights into teachers' habits and preferences when it comes to carrying coins.

Results and Analysis:

A total of 300 teachers participated in the survey. The data revealed that the majority of teachers (60%) carry less than 5 coins, while 25% carry between 5 and 10 coins. Only a small percentage (15%) reported carrying more than 10 coins.

Further analysis based on demographic factors indicated that age and occupation had a significant influence on the number of coins carried. Older teachers were more likely to carry fewer coins, with 70% of teachers above the age of 50 carrying less than 5 coins.

Additionally, primary school teachers tended to carry more coins compared to secondary school teachers.

Discussion and Interpretation:

The findings suggest that the number of coins carried by teachers is influenced by various factors.

Teachers may carry coins for a range of reasons, such as purchasing small items, providing change for students, or utilizing vending machines.

The lower number of coins carried by older teachers could be attributed to a shift towards digital payment methods or a preference for carrying minimal cash.

The discrepancy between primary and secondary school teachers could be due to differences in daily activities and responsibilities.

This research provides valuable insights into the habits and preferences of teachers regarding the number of coins they carry.

Understanding these patterns can assist in designing more efficient payment systems within educational institutions and potentially guide the development of tailored financial solutions for teachers.

Further research could explore the reasons behind carrying coins in more depth and investigate how the digitalization of payments affects teachers' behavior in different educational contexts.

for such more questions on investigate

https://brainly.com/question/32310280

#SPJ8

As a ship approaches the dock, it forms a 70 angle between the dock and the lighthouse. At the lighthouse, an 80 angle is formed between the dock and the ship. How far is the ship from the dock?

Answers

Answer:

The distance from the ship to the dock is approximately 5.24 miles

Step-by-step explanation:

From the parameters given in the question, we have;

The angle formed between the dock and the lighthouse = 70°

The angle formed between the dock and the lighthouse at the ship = 80°

The distance between dock and the lighthouse = 5 miles (From a similar question online)

By sine rule, we have;

\(\dfrac{a}{sin(A)} = \dfrac{b}{sin(B)} = \dfrac{c}{sin(C)}\)

Therefore, we have;

\(\dfrac{5}{sin(70^{\circ})} = \dfrac{The \ distance \ from \ the \ ship \ to \ the \ dock}{sin(80^{\circ})}\)

\(\therefore The \ distance \ from \ the \ ship \ to \ the \ dock = sin(80^{\circ}) \times \dfrac{5}{sin(70^{\circ})}\)

\(sin(80^{\circ}) \times \dfrac{5}{sin(70^{\circ})} \approx 5.24 \ mi\)

Therefore;

The distance from the ship to the dock ≈ 5.24 miles

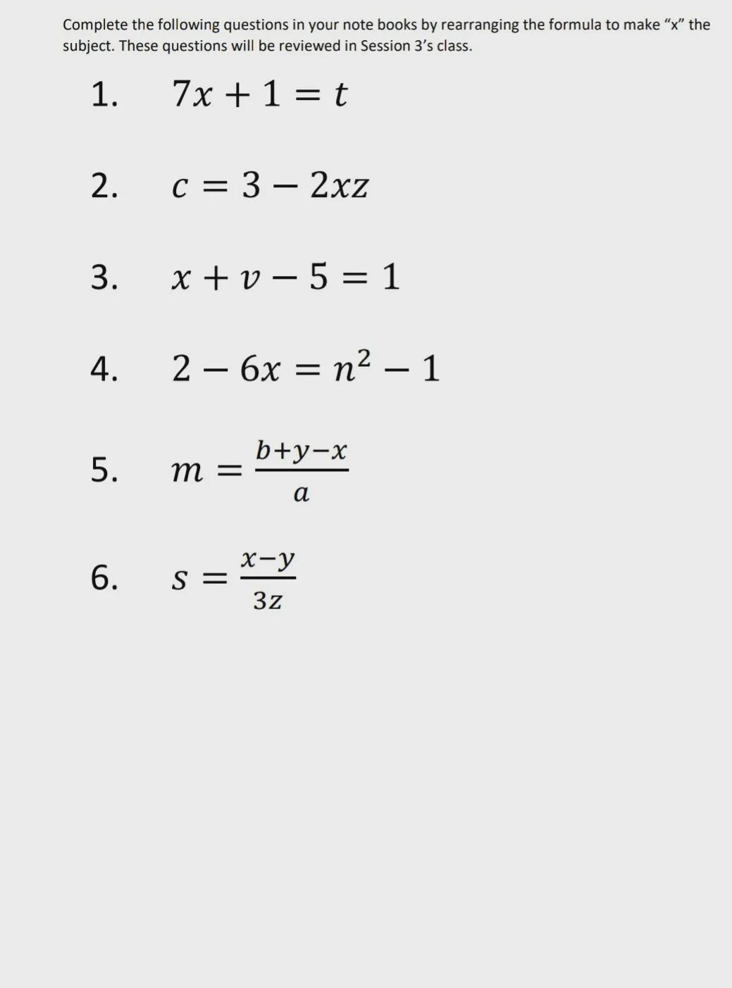
Complete the following questions in your note books by rearranging the formula to make "x" the subject. These questions will be reviewed in Session 3's class. 1. 7x + 1 = t 2. c = 3 - 2xz 3. x + V – 5 = 1 4. 2 – 6x = n2 – 1 = 1 - - . b+y-x 5. m = a X-y 6. S = 32

Complete the following questions in your note books by rearranging the formula to make "x" the subject.

Answers

\(\begin{gathered} \text{Given:} \\ 2-6x=n^2-1 \end{gathered}\)\(\begin{gathered} \text{Subtract }2\text{ from both sides to get rid of }2\text{ on the right side} \\ 2-6x=n^2-1 \\ 2-2-6x=n^2-1-2 \\ \cancel{2-2}-6x=n^2-1-2 \\ -6x=n^2-3 \end{gathered}\)\(\begin{gathered} \text{Divide both sides by }-6\text{ so that we could cancel out the coefficient of }-6\text{ on }x \\ -6x=n^2-3 \\ \frac{-6x}{-6}=\frac{n^2-3}{-6} \\ \frac{\cancel{-6}x}{\cancel{-6}}=\frac{n^2-3}{-6} \\ \\ x=\frac{n^2-3}{-6}\text{ (final answer)} \end{gathered}\)

estimate the product to the nearest whole number. 481 .68 * 76.25

Answers

Answer:

36,552

Step-by-step explanation:

To estimate the product of 481.68 and 76.25 to the nearest whole number, we can round both numbers to the nearest whole number first. 481.68 can be rounded to 482 and 76.25 can be rounded to 76.

Then, we can calculate the product of 482 and 76 to get the estimated result:

482 * 76 = 36,552

Therefore, the estimated product of 481.68 and 76.25 to the nearest whole number is 36,552.

Answer:

36,552

Step-by-step explanation:

To estimate the product of 481.68 and 76.25, you can round each number to the nearest whole number. 481.68 rounds to 482, and 76.25 rounds to 76.

The product of 482 and 76 is approximately 36,552. Therefore, the product of 481.68 and 76.25 is approximately 36,552.

Multiply: 55.7 x 0.6

Answers

Answer: 33.42

Step-by-step explanation: i learned this

The sum of two integers is -186. The larger integer is 14 less than
three times the smaller number. Find the two integers.

Answers

The values of the two integers are -43 and -143.

What are the values of the two integers?

Let the value of the smaller integer be "x".

Smaller integer = xLarger integer = 3x - 14Sum of the integers = -186

Since, the sum of two integers is -186.

Smaller integer + Larger integer = -186

x + ( 3x - 14 ) = -186

Solve for x

x + 3x - 14 = -186

4x - 14 = -186

4x = -186 + 14

4x = -172

x = -172/4

x = -43

Hence;

The smaller integer = x = -43

The largere integer = 3x - 14 = 3(-43) - 14 = -143.

Learn to solve more equations here: brainly.com/question/14686792

#SPJ1

A) Find an equation for the line perpendicular to the tangent line to the curve y=x^3-4x+6 at the point (2,6)
-The equation is y=
b) What is the smallest slope on the curve? At what point on the curve does the curve have this slope?
-The smallest slope on the curve is
-The curve has the smallest slope at the point
c) Find equations for the tangent lines to the curve at the points where the slope of the curve is 8.

Answers

Answer:

f(x) = x³ - 4x + 6

f'(x) = 3x² - 4

a) f'(2) = 3(2²) - 4 = 12 - 4 = 8

6 = 8(2) + b

6 = 16 + b

b = -10

y = 8x - 10

b) 3x² - 4 = 0

3x² = 4, so x = ±2/√3 = ±(2/3)√3

= ±1.1547

f(-(2/3)√3) = 9.0792

f((2/3)√3) = 2.9208

c) 3x² - 4 = 8

3x² = 12

x² = 4, so x = ±2

f(-2) = (-2)³ - 4(-2) + 6 = -8 + 8 + 6 = 6

6 = -2(8) + b

6 = -16 + b

b = 22

y = 8x + 22

f(2) = 6

y = 8x - 10

The equation perpendicular to the tangent is y = -1/8x + 25/4

-The smallest slope on the curve is 2.92

The curve has the smallest slope at the point (1.15, 2.92)

The equations at tangent points are y = 8x + 16 and  y = 8x - 16

Finding the equation perpendicular to the tangent

From the question, we have the following parameters that can be used in our computation:

y = x³ - 4x + 6

Differentiate

So, we have

f'(x) = 3x² - 4

The point is (2, 6)

So, we have

f'(2) = 3(2)² - 4

f'(2) = 8

The slope of the perpendicular line is

Slope = -1/8

So, we have

y = -1/8(x - 2) + 6

y = -1/8x + 25/4

The smallest slope on the curve

We have

f'(x) = 3x² - 4

Set to 0

3x² - 4 = 0

Solve for x

x = √[4/3]

x = 1.15

So, we have

Smallest slope = (√[4/3])³ - 4(√[4/3]) + 6

Smallest slope = 2.92

So, the smallest slope is 2.92 at (1.15, 2.92)

The equation of the tangent line

Here, we set f'(x) to 8

3x² - 4 = 8

Solve for x

x = ±2

Calculate y at x = ±2

y = (-2)³ - 4(-2) + 6 = 6: (-2, 0)

y = (2)³ - 4(2) + 6 = 6: (2, 0)

The equations at these points are

y = 8x + 16

y = 8x - 16

Read more about tangent lines at

https://brainly.com/question/21595470

#SPJ1

find the range of this equation

find the range of this equation

Answers

The range of the given equation is [-1, infinity).

We are given that;

Equation  y= underroot(x+5​)

Now,

The domain of this equation is the set of x values that make the expression under the square root non-negative.

That is, x+5 >= 0, or x >= -5. So the domain is [-5, infinity).

The range of this equation is the set of y values that are obtained by plugging in the domain values into the equation. Since the square root function is always non-negative, and we are subtracting 1 from it, the smallest possible value of y is -1, when x = -5. As x increases, y also increases, and there is no upper bound for y.

Therefore, by the range the answer will be [-1, infinity).

Learn more about the domain and range of the function:

brainly.com/question/2264373

#SPJ1

Write each phrase as an algebraic expression.
16 seconds faster than Aya’s time.

Answers

A=Aya’s time

A+ 16

Brainless pls

Answer:

i dont know

Step-by-step explanation:

Please help me, answer in this format

6 - 4x = 6x - 8x + 2
6 - 4x = ___ + 2
6 = ___ + 2
___ = ___
___ = x

Answers

Answer:

6 − 4  x = 6 x − 8 x − 2  Since  x

is on the right side of the equation, switch the sides so it is on the left side of the equation.

6 x − 8 x − 2 = 6− 4 x  Subtract  8 x  from  6 x . − 2 x − 2 = 6 − 4 x

Move all terms containing  x

to the left side of the equation.

Tap for fewer steps...

Add  4 x

to both sides of the equation.

− 2 x − 2  +  4  x =  6  Add  − 2 x  and  4 x . 2 x − 2 = 6

Move all terms not containing  

x  to the right side of the equation.

Tap for fewer steps...

Add  2

to both sides of the equation.

2 x = 6 +  2  Add  6  and  2 . 2 x = 8

Divide each term by  

2  and simplify.

Tap for fewer steps...

Divide each term in  

2 x = 8  by  2 .  2 x 2 =  8  2  Cancel the common factor of  

2  .  Tap for more steps...

x = 8  2  Divide  8  by  2 .

x = 4

please help me with i’ll give you brainlist

please help me with ill give you brainlist

Answers

The box in the middle of the plot spans from the first quartile (Q1) to the third quartile (Q3), with a line inside representing the median.

What is whisker plot?

A whisker plot, also known as a box and whisker plot, is a graphical representation of a set of numerical data through their quartiles. The plot consists of a box with whiskers extending from the top and bottom, showing the spread and distribution of the data. The five-number summary, which includes the minimum value, first quartile (Q1), median, third quartile (Q3), and maximum value, is used to create the whisker plot.

Here,

To create a box and whisker plot, we need to find the five-number summary of the data set, which includes:

Minimum value: the smallest value in the data set.

First quartile (Q1): the median of the lower half of the data set.

Median: the middle value in the data set.

Third quartile (Q3): the median of the upper half of the data set.

Maximum value: the largest value in the data set.

First, we need to put the data in order:

10, 12, 14, 15, 16, 18, 22, 24, 25, 28

The minimum value is 10 and the maximum value is 28.

The median is the middle value, which is 18.

To find the first quartile, we need to find the median of the lower half of the data set, which is:

10, 12, 14, 15, 16

The median of this lower half is 14.

To find the third quartile, we need to find the median of the upper half of the data set, which is:

22, 24, 25, 28

The median of this upper half is 24.

So, the five-number summary for this data set is:

Minimum value = 10

First quartile (Q1) = 14

Median = 18

Third quartile (Q3) = 24

Maximum value = 28

Now we can use this information to create the box and whisker plot:

      |          |      

 ----+----+----+----+----

    10   14   18   24   28

The box in the middle of the plot spans from the first quartile (Q1) to the third quartile (Q3), with a line inside representing the median. The whiskers extend from the box to the minimum and maximum values in the data set.

To know more about whisker plot,

https://brainly.com/question/2742784

#SPJ1

250% as a fraction in simplest form

Answers

Answer:

I think 1/4

Step-by-step explanation:

1000% ÷ 4 =250%

Step-by-step explanation:

(250÷50)/(100÷50) = 5/2 when reduced to the simplest form.

Please simplify 6p-2q+4r-2p+3s+5q

Answers

Answer:

\(6p - 2q + 4r - 2p + 3s + 5q\)

group the like terms together:

\( = (6p - 2p) + ( - 2q + 5q) + 4r + 3s\)

simplify:

\( = { \boxed{ \boxed{4p + 3q + 4r + 3s}}}\)

-6 x 10^-1 divided by -3 x 10^-2?

Answers

Answer:

-6 x 10^-1 divided by -3 x 10^-2 = 0.002

The table below shows Amadou's earnings on the job.How long does it take him to make \$255.45$255.45?

The table below shows Amadou's earnings on the job.How long does it take him to make \$255.45$255.45?

Answers

The time taken to make an amount of $255.45 is 9.75 hours

How to determine the time taken to make the amount?

From the table, we have the following representations:

x=Time

y = Earnings

Using a point from the table, we have

x = 3 and y = 78.60

Express as ratio

This gives

x : y = 3 : 78.60

When the earning is $255.45, we have

x : 255.45 = 3 : 78.60

Express as fraction

x/255.45 = 3/78.60

So, we have

x = 255.45 * 3/78.60

Evaluate

x = 9.75

Hence, it will take 9.75 hours

Read more about proportional equations at

https://brainly.com/question/14654228

#SPJ1

On a coordinate plane, a curved line labeled f of x with a minimum value of (1.9, negative 5.7) and a maximum value of (0, 2), crosses the x-axis at (negative 0.7, 0), (0.76, 0), and (2.5, 0), and crosses the y-axis at (0, 2).
Which statement is true about the graphed function?

F(x) < 0 over the intervals (-∞, -0.7) and (0.76, 2.5).
F(x) > 0 over the intervals (-∞, -0.7) and (0.76, 2.5).
F(x) < 0 over the intervals (-0.7, 0.76) and (2.5, ∞).
F(x) > 0 over the intervals (-0.7, 0.76) and (0.76, ∞).

Answers

The statement that is true about the function is:

F(x) < 0 over the intervals (-∞, -0.7) and (0.76, 2.5).

What is the function of a graph?

A function, in mathematics, an expression, rule, or law that defines a relationship between one variable (the independent variable) and another variable (the dependent variable).

Given:

The minimum value of the curve = (1.9, -5.7),

The maximum value = (0, 2)

The point the function crosses the x-axis (the x-intercept) = (-0.7, 0), (0.76, 0), and (2.5, 0)

The point the function crosses the y-axis (the y-intercept) = (0, 2)

The given points can be plotted using MS Excel, from which we have:

F(x) is less than 0 over the interval from x = -∞, to x = -0.7, and the interval from x = 0.76 to x = 2.5.

Hence, the correct option is A.

To know more about the function of a graph, visit:

https://brainly.com/question/32687137

Can someone help me with this problem?

Can someone help me with this problem?

Answers

7. Radius of circle P = 2       Radius of circle Q = 1

Coordinates of the point of tangency (4,2)

The equation of the tangency line is x = 4

8. AB is not a tangent. BC² ≠ AB² + AC²

9. The three radii of the circle are; CB, CF and CD

A diameter of the circle is BD

A tangent of the circle is GE

A chord of the circle is BD

A secant of the circle is AD

A point of tangency is F

How do we find the radius of a circle?

7. To find the radius, identify the diameter of the circle. For the diagram, it can be said that the diameter of the circle P is 4.

The radius then is 4/2 = 2.

The radius of circle q is 2/2 = 1

You could also use the formula

Distance = sqrt((x2 - x1)² + (y2 - y1)²)

8. √4² + √12² = √160

√13 = 169

Therefore AB is not tangent. It is less than BC

9. The line that cuts the circle into two halves is the diameter. The lines than further cuts the diameter into equal parts are the radii's

Find more exercises on finding diameter and radius;

https://brainly.com/question/23891151

#SPJ1

Very easy question l just want to know if lm right

Very easy question l just want to know if lm right

Answers

Yep the answer is -sqrt(7)

What is the solution to the inequality? -3x - 14 < -5

Answers

Answer:

-3x - 14 < -5

-3x < 9 (14 - 5)

x < 9: (-3)

x < -3

=> x = { -4, -5, -6, ...}

Step-by-step explanation:

A factory manufactures two articles of cloth; A and B. To manufacture the article A; a swing
machine has to be worked for 1.5 hours and in addition a craftsman has to work for 2 hours. To
manufacture the article B, the swing machine has to be worked for 2.5 hours and in addition the
craftsman has to work for 1.5 hours. In a week, the factory can avail of 80 hours of machine time
and 70 hours of craftsman’s time. The profit on each article A is birr 5 and that on each article of
B is birr 4. If all the articles produced can be sold away; find how many of each kind should be
produced to earn the maximum profit per week. Develop and LP model and solve using graphical
approach.

Answers

The amounts of each article that should be produced to maximize the profits is given as follows:

Cloth A: 11 articles.Cloth B: 31 articles.

How to maximize the profits?

The variables for the system of equations are given as follows:

Variable x: amount of cloth a produced.Variable y: amount of cloth b produced.

The number of hours is a countable amount, meaning that it cannot assume negative values, hence:

x ≥ 0.y ≥ 0.

The factory can avail of 80 hours of machine time, hence:

1.5x + 2.5y ≤ 80.

(1.5 hours of machine time for cloth A, 2.5 hours for cloth B, the sum can be at most 80).

The craftsman’s maximum time is of 70 hours, hence:

2x + 1.5y ≤ 70.

The vertex for which the amount is maximized is given as follows:

(11,31).

Meaning that the amounts are of 11 articles from cloth A and 31 articles from cloth B.

More can be learned about linear programming at https://brainly.com/question/13154906

#SPJ1

A factory manufactures two articles of cloth; A and B. To manufacture the article A; a swingmachine has

write an Equation for the angle relationship shown in the figure and solve for x. Find the measures of RQS and TQU?

write an Equation for the angle relationship shown in the figure and solve for x. Find the measures of

Answers

Answer:

∠RQS = 21°

∠TQU = 28°

Step-by-step explanation:

90° + 221° + 3x + 4x = 360°

combine like terms:

7x + 311° = 360°

subtract 311° from each side of the equation:

7x = 49°

divide both sides by 7:

x = 7°

∠RQS = 3x = 3(7°) = 21°

∠TQU = 4x = 4(7°) = 28°

Write the slope-intercept form of the line that has a slope of 2 and intersects the line, 2x - 3y = 6 at x = 3. Include
your work in your final answer. Type your answer in the box provided to submit your solution.

Answers

Answer:

y= 2x -6

Step-by-step explanation:

The slope-intercept form of a line is given by y= mx +c, where m is the slope and c is the y-intercept.

To find the equation of a line, two information are needed:

Slope (given/ calculated)A pair of coordinated

Given that the slope is 2, m= 2. Substitute m= 2 into y= mx +c:

y= 2x +c

Let's find the coordinate in which the line intersects the line 2x -3y= 6. Point of intersection refers to the point at which two lines cuts through each other i.e., the point lies on the graph 2x -3y= 6 and the line of interest.

2x -3y= 6

When x= 3,

2(3) -3y= 6

6- 3y= 6

3y= 6 -6

3y= 0

Divide both sides by 3:

y= 0

Coordinate that lies on the graph is (3, 0).

Substitute the point into the equation and solve for c:

y= 2x +c

When x= 3, y= 0,

0= 2(3) +c

0= 6 +c

c= -6

Substitute the value of c back into the equation:

Thus, the equation of the line in slope-intercept form is y= 2x -6.

Additional:

For a similar question on slope-intercept form, do check out the following!

https://brainly.com/question/28007941

$46.76 for 4 pounds. What is the price per pound?

Answers

9514 1404 393

Answer:

  $11.69 per pound

Step-by-step explanation:

To find price per pound, divide price by pounds:

  $46.76/(4 lb) = $11.69/lb

Twenty four blood samples were selected by taking every seventh blood sample from racks holding 199 blood samples from the morning draw at a medical center ANSWER BOTH A AND B

Twenty four blood samples were selected by taking every seventh blood sample from racks holding 199 blood

Answers

a. FPCF for this sample is FPCF = √(199/24) = 2.89.

b. The population cannot be considered effectively infinite, so the answer is no.

What is FPCF?

When the sample size is significant compared to the size of the community, the Finite Population Correction Factor, also known as the FPC factor, is applied. The population in most cases is so vast that typical sample sizes are insufficient to raise concerns about the need for the FPC.

The recommendation is to use the FPC when the sample size to population size ratio is higher than 5%. The FPCF must be used, for instance, if the population number is 300 and the sample size is 30, which results in a ratio of 10%.

a. To calculate the FPCF (finite population correction factor) for this sample, we can use the formula:

FPCF = √(N/n)

where N is the population size, and n is the sample size.

In this case, N = 199 (the number of blood samples in the racks), and n = 24 (the number of samples selected every seventh blood sample).

FPCF = √(199/24) = 2.89 (rounded to two decimal places)

b. To determine whether the population should be considered effectively infinite, we need to compare the sample size to the population size. A general rule of thumb is that the population can be considered effectively infinite if the sample size is less than 5-10% of the population size.

In this case, the sample size is 24, which is approximately 12% of the population size of 199. Therefore, the population cannot be considered effectively infinite, and the FPCF should be applied to adjust for the finite population size.

Learn more about FPCF on:

https://brainly.com/question/10098164

#SPJ1

Find the value of 2.
P
2xº
3
3
R
3
Q
please help!!

Find the value of 2.P2x33R3Qplease help!!

Answers

Answer:

I'd say x=30

cause the angle is 60°

Look for factors that will help you determine what type of economy exists in Country A.

Based on the clues in this passage, what type of economy does Country A have?

developed
developing
transitioning
command

Answers

Answer is on quizlet

developing:

a low GDP


an economy based on agriculture

Based on the limited information provided, it is not possible to definitively determine the type of economy in Country A. More specific details and factors would be necessary to make a conclusive determination.

e-Test Active
2
3
=+
4
Of(x) = -3x+4
Of(x) = -x +
Of(v)=-3y+4
5
6
7
8
10
TIME REI
Consider the function represented by 9x+3y=12 with x as the independent variable. How can this function be
written using function notation?
42-

Answers

The function notation of 9x + 3y = 12 is given as follows:

f(x) = 4 - 3x.

How to write the function notation?

The function in the context of this problem is given as follows:

9x + 3y = 12.

The format for the function notation is given as follows:

Hence we must isolate the variable y, as follows:

3y = 12 - 9x

y = 4 - 3x (each term of the expression is divided by 3).

f(x) = 4 - 3x.

More can be learned about functions at https://brainly.com/question/10687170

#SPJ1

The mean of 30 test scores was 92. The range of scores was 10.

The mean of 30 test scores was 92. The range of scores was 10.

Answers

Answer:

First option.

Step-by-step explanation:

The mean of a set of data is all the data added together divided by the total numbers in that data set. So not only do you have to add an additional 45 to the data set, but you also have to divide the total of all the test scores by the total number of test takers which is now 31.

The range of a set of data is rearranging the data set smallest to largest and then subtracting the smallest from the largest value in the data set. Since the mean is 10 it's a small chance that 45 is either smallest or the largest of the set of data. We don't know the median, or the mode of the data set, nor does the question give us the other 30 test scores so it's between the range and the mean.

The most affected with the inclusion of the additional students test score would be the first option or the "mean."

Hope this helps.

PLEASE HELP!!!

WILL MARK BRAINLIEST!!!!


In the triangle shown, solve for X to the nearest degree.

Multiple choice!

Thank you!

PLEASE HELP!!!WILL MARK BRAINLIEST!!!!In the triangle shown, solve for X to the nearest degree.Multiple

Answers

Answer:

x=42°

Step-by-step explanation:

take x degree as reference angle

using tan rule

tan x=opposite/adjacent

tan x=9/10

tan x=0.9

x=\(tan^{-1}\)0.9

x=41.98

x=42 degree

Answer:

41.987° which rounds to 42 degrees

Step-by-step explanation:

For the function f(x) = 7x + 6, find f-¹(x).

Answers

Inverse of function f(x) = 7x + 6 is

Given,

f(x) = 7x + 6

Now,

Put y in place of f(x)

y = 7x + 6

Now interchange the variables,

x = 7y + 6

Solve for variable y,

y = x/7 - 6/7

Replace y with f-¹(x),

f-¹(x) = x/7 - 6/7

Thus the inverse of the function is obtained to be x/7 - 6/7 .

Know more about inverse function,

https://brainly.com/question/29141206

#SPJ1

Other Questions
Mothers by niki giovanni1. PART A: Which of the following identifies a themeof the poem?O A. As children grow up, their views of their mothersevolve and changeB. The most important lessons that children canlearn come from mothers.O C. As children grow up they will, without a doubt,grow apart from their mothers.O D. Children only come to truly understand theirmothers when they become parents themselves. signals to would-be challengers can be given by multiple choice creating collaborative relationships with other industry leaders to block new entrants. parrying the strategic thrusts of strong competitors. maintaining secrecy about the firm's market share goals. lobbying government regulators to reduce barriers to new entrants. raising prices or adjusting terms of sale to sustain profits even during a price war. If 19 kg of gold losses 1 kg, and 10 kg of silver losses 1 kg when weighed in water, find the weight of gold in a bar of gold and silver weighing 106 kg in air and 99 kg is water. What is the message in Body Ritual Among the Nacirema? A die is rolled twice. What is the probability of getting either a multiple of 2 on the first roll or a total of 6 for both rolls what was the big ideological difference between britain and the soviet union? how did they find common ground? which of the following statements is true of polycentric staffing? a. distributing products b. it employs managers exclusively from the home country to look out for the company's interests. c. it emphasizes re-creating local operations in the same form of home-country operations. d. it helps develop managers who are familiar with the local culture. 1 a) Draw with labels a typical S-N curve for a metal under a cyclic loading. b) List 3 methods to avoid fatigue failure \( 2 . \) Describe the mechanism of regenerative braking. Question 31 ptsentsWhich of the following equations represent a linear equation?Oy= 3x2Oy= 2 -Oy= V + 6Oy= 2x + 3 if a companys new products or new chain end up stealing customers and sales from the older, existing ones, it is known as explain one way in which the event depicted in the image reflects economic changes in asia in the eighteenth century. following your dreams is hard speech what is the technical rate of substitution between x2 and x1? Where does nearly all life get its energy from? *OxygenA.SunB.ProduceC.Soil How did the Jay Treaty of 1794 create division within the United States?O Pro-British Americans were angered that the US government agreed to trade with Britain.O Pro-French Americans were angered that the US government agreed to trade with Britain.O Pro-British Americans were angered that the US government chose to remain neutral.O Pro-French Americans were angered that the US government agreed to trade with France, PLEASE HELP MEEEEE PLEASE I need help with this please One jar of crushed tomatoes costs $3. How many jars can you buy for $21? can someone help ... I need this for my maths homework parkway company incurred $141,000 in material costs during july. additionally, the 13,500 units in the work-in-process inventory on july 1 had materials assigned to them of $47,000, even though they were only 10% complete as to materials. no additional units were started during july, and there were no unfinished units on hand on july 31. what is the material cost per equivalent unit for july, assuming parkway uses weighted-average process costing?