Evaluate 5x ( x - 3 ) when x = 10

Answers

Answer 1

Answer:  

470

Step-by-step explanation:

Replace x with 10:  470

5(10)(10 - 3( = 500 - 30 = 470

470


Related Questions

NEED HELP!! I"LL GIVE YOU BRAINLIEST!! Find the value of b. a = 3 and c =12

NEED HELP!! I"LL GIVE YOU BRAINLIEST!! Find the value of b. a = 3 and c =12

Answers

Answer: b = 11.62

Step-by-step explanation:

We can use this formula to solve for b:

\(b^{2} =\) \(\sqrt{c^{2}-a^{2} }\)

\(b^{2} =\) \(\sqrt{12^{2}-3^2 }\)

\(b^2= \sqrt{144-9}\)

= 11.61895004

We can round that to 11.62.

Hope this helped!

K
A department store paid $49.38 for a salad bowl Overhead expense is 17% of the regular selling price and profit is 11% of the regular selling price. During a clearance sale, the set was sold at a markdown of
44% What was the operating profit or loss on the sale?
The operating
(Round the final answer to the nearest cent as needed. Round all intermediate values to six decimal places as needed.)

Answers

Operating Loss on the sale of the salad bowl is $19.75.

What are profit and loss?

Profit is gained amount after selling any item when selling price is more than the cost.

Loss is the lost amount after selling any item, when selling price is less than the cost.

Given,

Cost of the salad bowl = $49.38

Overhead expense = 17%

Overhead expense

= 17 × 49.38/100

= $8.3936

Total cost

= $49.38 + $8.3936

= 57.7736

Profit = 11%

Profit

= 11 × 49.38/100

= 5.4318

Cost = 57.7736 - 5.4318

Cost = 52.3418

On sale markdown on price = 44%

then selling price = 66%

selling price

= 66×49.38/100

= 3259.08/100

= $32.5908

Loss

= Cost - selling price

= 52.3418 - 32.5908

= 19.751

= $19.75

Hence, there is loss of $19.75 on the sale of salad bowl.

Learn more about profit and loss here:

https://brainly.com/question/13934673

#SPJ9

Minnie owes $350 on her credit card and plans to pay $20 each week to pay it off. Mickey owes $200 on his credit card and plans to pay $10 each
week. Write equations to represent each situation, where x represents the numbers of weeks and y represents how much is left to pay off.

Answers

Answer:

x - 1 = y

Step-by-step explanation:

Answer: Minnie: 17x, 10y                        

              Mickey: 20x, 0y

Step-by-step explanation:

For Minnie, if you divided 350 by 20 it equals 17.5 but since it has to be a whole number we take 0.5 times 20 and that equals 10 so she has to pay off 10 more dollars. For Mickey, we take 200 and divide it by 10 and that equals 20 weeks and since theres no qouteint left there is no more money needed to be paid.

Hope This Helps!

a small gecko is 3/4 inch long. a larger gecko is 11 1/3 times as long. how long is the larger gecko?

Answers

Answer:

127/12

Step-by-step explanation:

11 1/3- 3/4

Neal invested $120,000 in stocks and bonds. He earned 18% on his stock investments and 12% on his bond investments. If Neal's combined profits on both types of investments were $17,400, how much did he invest in stocks?​

Answers

Answer:

  $50,000

Step-by-step explanation:

The given relations can be used to write and solve an equation for the amount invested in stocks.

Setup

Let s represent the amount invested in stocks. Then (120,000-s) is the amount invested in bonds. The total earnings by the two investments were ...

  0.18s +0.12(120,000 -s) = 17,400

Solution

Simplifying the equation, we have ...

  0.06s +14,400 = 17,400

  0.06s = 3000 . . . . . . . . . . subtract 14,400

  s = 50,000 . . . . . . . . . . . . divide by 0.06

Neal invested $50,000 in stocks.

__

Additional comment

The amount invested in bonds was 70,000. The profit earned was ...

  0.18(50,000) +0.12(70,000) = 9,000 +8,400 = 17,400

Create a set with 5 numbers that has a median of 6.

Answers

Answer:

1 2 3 4 5 6 7 8 9 10 11 12 13 14 15

Step-by-step explanation:

1 2 33

A store is having a sale on jelly beans and almonds. For 3 pounds of jelly beans and 5 pounds of almonds, the total cost is $27. For 9 pounds of jelly beans and
7 pounds of almonds, the total cost is $51. Find the cost for each pound of jelly beans and each pound of almonds.
Cost for each pound of jelly beans:
Cost for each pound of almonds:

Answers

Answer:

Cost for each pound of jelly beans:  $2.75

Cost for each pound of almonds:  $3.75

Step-by-step explanation:

Let J be the cost of one pound of jelly beans.

Let A be the cost of one pound of almonds.

Using the given information, we can create a system of equations.

Given 3 pounds of jelly beans and 5 pounds of almonds cost $27:

\(\implies 3J + 5A = 27\)

Given 9 pounds of jelly beans and 7 pounds of almonds cost $51:

\(\implies 9J + 7A = 51\)

Therefore, the system of equations is:

\(\begin{cases}3J+5A=27\\9J+7A=51\end{cases}\)

To solve the system of equations, multiply the first equation by 3 to create a third equation:

\(3J \cdot 3+5A \cdot 3=27 \cdot 3\)

\(9J+15A=81\)

Subtract the second equation from the third equation to eliminate the J term.

\(\begin{array}{crcrcl}&9J & + & 15A & = & 81\\\vphantom{\dfrac12}- & (9J & + & 7A & = & 51)\\\cline{2-6}\vphantom{\dfrac12} &&&8A&=&30\end{array}\)

Solve the equation for A by dividing both sides by 8:

\(\dfrac{8A}{8}=\dfrac{30}{8}\)

\(A=3.75\)

Therefore, the cost of one pound of almonds is $3.75.

Now that we know the cost of one pound of almonds, we can substitute this value into one of the original equations to solve for J.

Using the first equation:

\(3J+5(3.75)=27\)

\(3J+18.75=27\)

\(3J+18.75-18/75=27-18.75\)

\(3J=8.25\)

\(\dfrac{3J}{3}=\dfrac{8.25}{3}\)

\(J=2.75\)

Therefore, the cost of one pound of jelly beans is $2.75.

Will give brain if correct segment addition

Will give brain if correct segment addition

Answers

Answer:

13) 28

14) 22

15) 24

16)13

Step-by-step explanation:

13) Because they all lie on the same line, AC would be AB+BC, or 16+12, or 28.

14) Same thing as 13, 13+9=22

15) Same thing as others but make an equation

-1+2x+11=3x+3

Simplifying the equation, we get x=7. Now, we plug in x=7 to 3x+3 to get AC.

3(7)+3=21+3=24

16) build the equation:

x+14+x+10=22

2x+24=22

2x=-2

x=-1

Now plug in x=-1 to x+14.

-1+14=13

The steps and answers please and thank you.

The steps and answers please and thank you.

Answers

Answer:

Practical Domain: 0 ≤ g ≤ 22

Practical Range: 0 ≤ C(g) ≤ 78.32

Step-by-step explanation:

The domain is the input of the function, usually, x, but it is g in this problem.

The input here is the number of gallons you can get. The tank holds a maximum of 22 gallons, so if the tank is already full, you will get 0 gallons. If the tank is completely empty, you can get up to 22 gallons. The domain is the values of the input of the function. Since the input is from 0 gallons to 22 gallons, we get this for the domain:

Practical Domain: 0 ≤ g ≤ 22

The range is the output of the function. Usually it is f(x), but in this problem it is C(g). When you input the number of gallons into the function, the output is the cost of that number of gallons. The domain is from 0 to 22 gallons. Now we use the function to find the cost of 0 gallons and the cost of 22 gallons.

Here is the function:

C(g) = 3.56g

What is the cost of 0 gallons? In this case, g = 0.

C(0) = 3.56(0) = 3.56 × 0 = 0

0 gallons cot 0 dollars, which makes sense.

What is the cost of 22 gallons, the greatest amount of fuel you can fit in the tank?

C(g) = 3.56g

Here, g = 22.

C(22) = 3.56(22) = 3.56 × 22 = 78.32

22 gallons cost 78.32 dollars.

The range of the function is from 0 dollars to 78.32 dollars.

Practical Range: 0 ≤ C(g) ≤ 78.32

In a State lottery, how many different combinations of 6 numbers can be obtained from a total of 46 numbers? b) In how many different sequences can we select 10 racecars out of 36 racecars?

Answers

SOLUTION (a)

There are 46 numbers and to select a combination of 6 numbers

Hence, we have a combination

\(^{46}C_6\)\(^nC_x=\frac{n!}{(n-x)!x!}\)

Then applying the formula for combination above we have

\(^{46}C_6=\frac{46!}{(46-6)!6!}=\frac{46!}{40!6!}=9366819\)

Therefore, there are about 9366819 six numbers

three student share a townhouse their electric bill for october was 3.87 less than the september bill. the total of both bills is 237.75 and is split evenly how much did each owe in september

Answers

Answer: 40.27

Step-by-step explanation:

Let their September bill be x

Therefore, the October bill will be = x - 3.87.

Therefore, the addition of both bills will be:

x + (x - 3.87) = 237.75

x + x - 3.87 = 237.75

2x - 3.87 = 237.75

2x = 237.75 + 3.87

2x = 241.62

x = 241.62/2

x = 120.81

Therefore, September bill was 120.81

Since the 3 students share the bull equally, the amount owed by each will be:

= 120.81 / 3

= 40.27

Each person owes 40.27

Find the area of the irregular figure. 8 in. 6 in. A = [ ? Jin.? 5 in. + 10 in. 4 in 4 in.​

Find the area of the irregular figure. 8 in. 6 in. A = [ ? Jin.? 5 in. + 10 in. 4 in 4 in.

Answers

We can divide into 3 shapes
Area of 1st rectangle: 8*6 = 48 in^2
Area of 2nd rectangle: 10*4 = 40 in^2
Area of 3rd rectangle: 5*4 = 20 in^2

Total area = 48 + 40 + 20 = 108 in^2

I got 108 for the answer

In ΔNOP, the measure of ∠P=90°, PO = 48, NP = 55, and ON = 73. What is the value of the sine of ∠N to the nearest hundredth?

Answers

Answer:

\(\sin(N) = 0.66\)

Step-by-step explanation:

Given

\(\angle P = 90^o\)

\(PO = 48; NP = 55; ON = 73\)

Required

\(\sin(N)\)

The given parameters is illustrated with the attached image.

From the attached, we have:

\(\sin(N) = \frac{Opposite}{Hypotenuse}\)

\(\sin(N) = \frac{PO}{ON}\)

\(\sin(N) = \frac{48}{73}\)

\(\sin(N) = 0.66\) -- approximated

let . determine the rank of . recall that the rank of a matrix is the number of linearly independent rows or columns. the notion of linear independence and rank is reviewed on the tab after the next one, titled linear independence, subspaces and dimension.

Answers

The rank of the matrix is 2

The given matrix is:

We can determine the rank of this matrix by performing row operations to reduce it to row echelon form, and then counting the number of non-zero rows.

Performing row operations, we have:

b = \(\left[\begin{array}{ccc}2&1&0\\1&4&4\\5&6&4\end{array}\right]\)           →  R₁' = 1/2 R₁  = \(\left[\begin{array}{ccc}1&1/2&0\\1&4&4\\5&6&4\end{array}\right]\)

R₂' = R₂ - R₁

-----------------→

R₃' = R₃ - 5R₁    \(\left[\begin{array}{ccc}1&1/2&0\\0&7/2&4\\0&7/2&4\end{array}\right]\)

R₃' = R₃ - R₂    \(\left[\begin{array}{ccc}1&1/2&0\\0&7/2&4\\0&0&0\end{array}\right]\)

Therefore , Rank(B) = 2

From the row echelon form of the matrix, we see that there are two non-zero rows. Therefore, the rank of the matrix is 2

Also, product will be a Identity matrix.

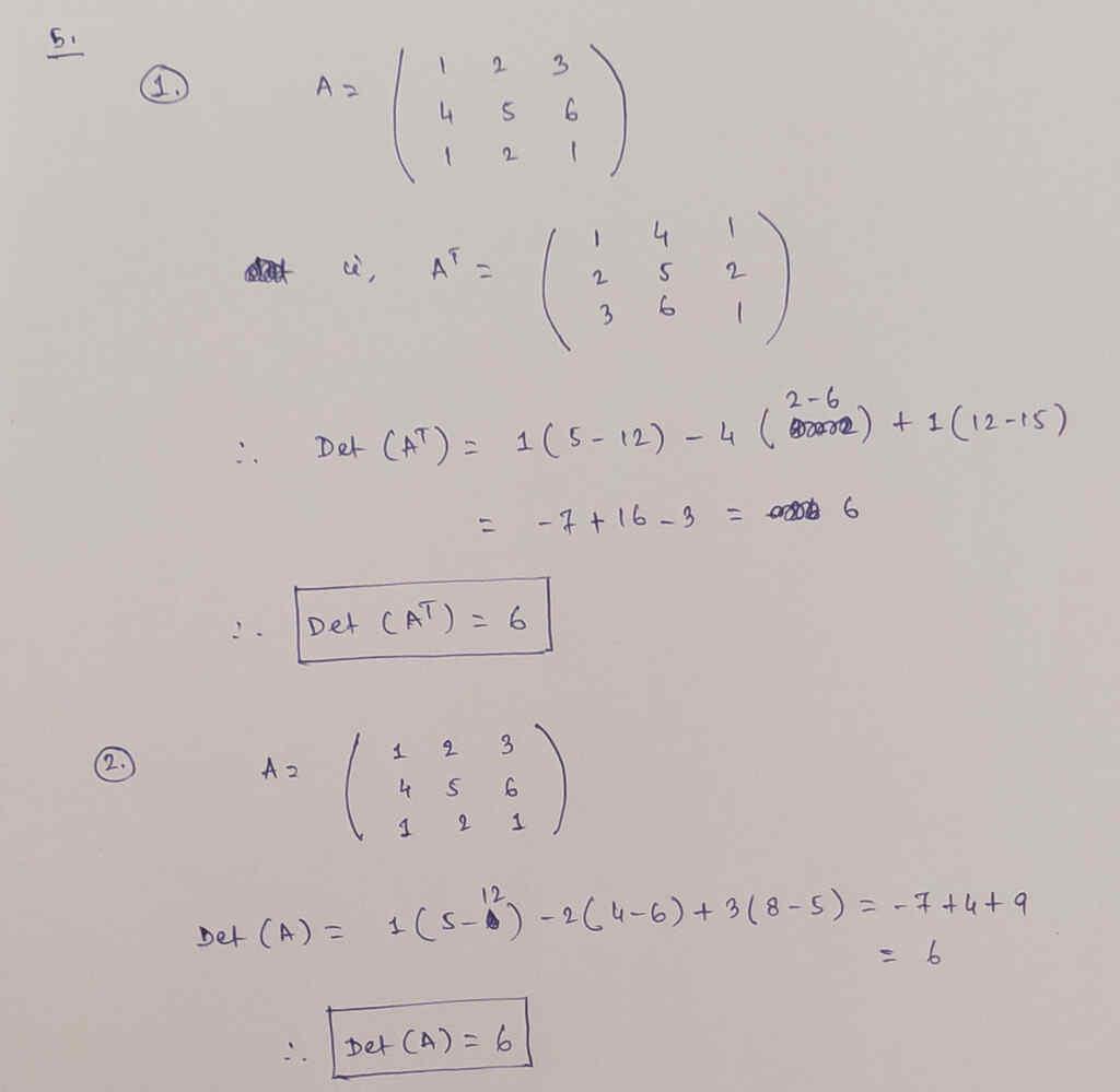
A = \(\left[\begin{array}{ccc}1&2&3\\4&5&6\\1&2&1\end{array}\right]\)

Det A = 1(5 - 12) - 2( 4 - 6) + 3 (8 - 5) = - 7 + 4+ 9 = 6

Therefore, Det A ≠ 0 . So A⁻¹ exists.

A⁻¹ = \(\left[\begin{array}{ccc}-7/6&2/3&-1/2\\1/3&-1/3&1\\1/2&0&-1/2\end{array}\right]\)

Learn more about matrix here :

brainly.com/question/28462208

#SPJ4

Complete Question

Recall that the rank of a matrix is the number of linearly independent rows or columns. 5 6 4 The notion of linear independence and rank is reviewed on the the tab after the next one, titled linear independence, subspaces and dimension.

let . determine the rank of . recall that the rank of a matrix is the number of linearly independent
let . determine the rank of . recall that the rank of a matrix is the number of linearly independent
let . determine the rank of . recall that the rank of a matrix is the number of linearly independent

Mark wants a new car that costs $30000. He only has $500 in his savings account and $300 in his checking account. Which financing option should he chose

Answers

Answer: He should choose the savings account because he can earn more interest and the money in his savings account is more than the money in his checking account.

Step-by-step explanation:

HELP HELP HELP HELP HELP HELP PLEASE

HELP HELP HELP HELP HELP HELP PLEASE

Answers

Answer:

A

Step-by-step explanation:

A loan of $25,475 is taken out at 4.6% interest, compounded annually. If no payments are
made, after about how many years will the amount due reach $37,500? Round to the
nearest year.

Please helpp

Answers

Answer:

9 years

Step-by-step explanation:

Exercise
find the truth set of the
1.5(3x-5)-2(x-7)=11

Exercisefind the truth set of the1.5(3x-5)-2(x-7)=11

Answers

Que ódio de mim e eu não sei se você não tem a sua mãe e eu não tem a sua vida que você está com o contato do cara do pai e a gente vai se ver e te aviso tá tá ai quando foi que eu vou fazer o contato do cara do pai e a gente vai se

2. 4x - 2y = -6
-6x + 2y = 2

Answers

Answer:

x = 2, y =7

Step-by-step explanation:

4x - 2y = -6

-6x + 2y = 2

Add the equations together

4x - 2y = -6

-6x + 2y = 2

-----------------------

-2x = -4

Divide each side by -2

-2x/-2 = -4/-2

x = 2

now find y

-6x+2y =2

-6(2) +2y =2

-12+2y =2

Add 12 to each side

-12+12+2y = 2+12

2y =14

Divide by 2

2y/2 =14/2

y =7

the competitive advantage of some small american factories such as in tolerance contract manufacturing lies in their ability to produce parts with very narrow requirements, or tolerances, that are typical in the aerospace industry. consider a product with specifications that call for a maximum variance in the lengths of the parts of . suppose the sample variance for parts turns out to be . use , to test

Answers

The p-value is 0.1533, so p-value>0.05 fail to reject the null hypothesis. There is insufficient evidence to support the claim p-value greater than the significance level 0.05.

Consider the above given that

⇒\(& \alpha=0.05 \quad \mathrm{n}=34 \mathrm{~s}^2=0.0005 \\\)

⇒\(H_{0} : \sigma^2 \leq 0.0004 \\\)

⇒\(H_{a} : \sigma^2 > 0.0004\)

The null and alternative hypothesis test statistic:

Null and alternative hypotheses are used in statistical hypothesis testing. The null hypothesis of a test always predicts no effect or no relationship between variables, while the alternative hypothesis states your research prediction of an effect or relationship.

⇒\(& \mathrm{x}^2=\left(\frac{\mathrm{n}-1}{\sigma^2}\right) \mathrm{s}^2 \\\)

\(& =\left(\frac{34-1}{0.0004}\right) 0.0005 \\\)

⇒\(& \mathrm{x}^2=\left(\frac{33}{0.004}\right) \times 0.0005 \\\)

\(& =82,500 \times 0.0005 \\\)

⇒\(& \mathrm{x}^2=41.25\)

⇒\(h_{0} : $\sigma^2$ is that or equal to $0.0004$\)

⇒\(h_{a} : $\sigma^2$ is greater that $0.0004$\)

⇒p value=p(z>41.25)

⇒p value=0.1533

By using P Value from Chi-Square Calculator

⇒p value=0.1533

⇒P value >0.05

Fail to reject the null hypothesis.

There is insufficient evidence to support the claim p value greater than the significance level 0.05.

Therefore, the p-value is 0.1533, so p-value>0.05 fail to reject the null hypothesis.

For more such questions on null and alternative hypothesis

https://brainly.com/question/22334976

#SPJ4

The competitive advantage of some small Americans factories such as in tolerance contract manufacturing lies in their ability to produce parts with very narrow requirements, or tolerances, that are typical in the aerospace industry. consider a product with specifications that call for a maximum variance in the lengths of the parts of 0.0004. suppose the sample variance for 34 parts turns out to be \(s^{2}=0.0005\) . use \(\alpha=0.05\) , to test whether population variance specification is violated.

\(H_{0} \\H_{a}\)

Test statistic:

The p-value is-------.

Jeremy makes $4.70 every time he mows a lawn but it costs him $6.80 to refill the tank. If Jeremy mows 5 lawns using 3 tanks of gas, how much did he profit?

Show expression used and step by step explanation

Answers

Answer:

$3.10

Step-by-step explanation:

Money earned by mowing 5 lawns (income) = $4.70 x 5 = $23.50

Cost of filling 3 tanks (expenditure) = $6.80 x 3 = $20.40

Profit = income - expenditure

         = $23.50 -  $20.40

        = $3.10

Solve the problem.
A fireworks mortar is launched straight upward from a pool deck platform 4 m off
the ground at an initial velocity of 61 m/sec. The height of the mortar can be
modeled by h(t) = 4.97 +61t+4, where h(t) is the height in meters and t is the time in
seconds after launch. What is the maximum height? Round to the nearest meter.
A) 194 m
OB) 237 m
C) 4 m
D) 6 m

Answers

Answer:

A

Step-by-step explanation


1. Lin runs 2 miles in 2/5 for an hour, Tyler runs 8 2/4 miles in 4/3 of an hour. How long
does it take each of them to run 10 miles at that rate?

Answers

It would take Lin 2 while to get to ten miles

angle A and angle B are supplementary angles. If m angle A=(5x+25)^ and m angle B=(3x+19)^ then find the measure of angle B .

Answers

Answer:

B=70

Step-by-step explanation:

A+B=180

5x+25+3x+19=180

8x+44=180

8x=136

x=17

B=3(17)+19

B=51+19

B=70

Answer:

The answer is 140!!!

Step-by-step explanation:

With Obesity on the rise, a Doctor wants to see if there is a linear relationship between the Age and Weight and estimating a person's Systolic Blood Pressure. Using the Estimated Regression equation, Estimate Systolic BP when some if 39 years old and they weigh 143 pound.
A. 114.785.
B. 115.532.
C. 122.471.
D. 112.569
Systolic BP Age in Yrs. Weight in lbs.
132 52
143 59 184
153 67 194
162 73 168
154 64 196
168 74 220
137 54 188
149 61 188
159 65 207
128 46 167
166 72 217
135 52 187
148 61 161
148 61 189
161 65 205
126 45 161
167 75 215

Answers

Answer:

112.569 ( D )

Step-by-step explanation:

Applying the estimated Regression Equation

y = b1X1 + b2X2 + a

b1 = ((SPX1Y)*(SSX2)-(SPX1X2)*(SPX2Y)) / ((SSX1)*(SSX2)-(SPX1X2)*(SPX1X2)) = 596494.5/635355.88 = 0.93884

b2 = ((SPX2Y)*(SSX1)-(SPX1X2)*(SPX1Y)) / ((SSX1)*(SSX2)-(SPX1X2)*(SPX1X2)) = 196481.5/635355.88 = 0.30925

a = MY - b1MX1 - b2MX2 = 149.25 - (0.94*61.31) - (0.31*193.88) = 31.73252

y = 0.939X1 + 0.309X2 + 31.733

For x1 ( age ) =39, and  x2(weight) =143

y = (0.93884*39) + (0.30925*143) + 31.73252= 112.569

where

Sum of X1 = 981

Sum of X2 = 3102

Sum of Y = 2388

Mean X1 = 61.3125

Mean X2 = 193.875

Mean Y = 149.25

attached is the Tabular calculation of the required values needed for estimated regression equation

With Obesity on the rise, a Doctor wants to see if there is a linear relationship between the Age and

Does anybody know how to do this it's about angles ​

Does anybody know how to do this it's about angles

Answers

Answer:

isn't X=21 because it's a right angle and you just do 90-69=21?

Answer:

alpha = 21°

Step-by-step explanation:

You see that this rectangle has four right angles, meaning each of 90 °

That is why it is called a rectangle in the first place. ( The 'rec' in rectangle stands for 'right' or 'streight' and it indicates all angles in the rectangle being 90 °).

Anyway, corner alpha added with the given angle of 69 ° must there fore add up to the value of a streight corner, right?

apha + 69 = 90

alpha = 90 - 69

alpha = 21°

In ΔDEF, the measure of ∠F=90°, the measure of ∠E=53°, and DE = 57 feet. Find the length of FD to the nearest tenth of a foot.

Answers

Answer:

DF = 45.5 feet

Step-by-step explanation:

∠D = 37°

cos 37 = DF/57

DF = 57·cos 37

DF = 45.5'

Is (x + 2) a factor of f(x) = x3 - 7x2 + 2X – 8? Use either the remainder theorem or the factor theorem to explain your reasoning.

Answers

\(\text{Given that,}\\\\f(x) = x^3 -7x^2 +2x -8\\\\\\\text{(x+2) will be a factor of f(x) if } f(-2) = 0 \\\\\\f(-2) = (-2)^3 -7(-2)^2 +2(-2) -8 = -48 \\\\\\\text{Since}~ f(-2) \neq 0, ~ (x +2) \text{is not a factor of f(x).}\)

sfiso is having a party and needs the following
36 bottles of coke
60 cup cakes
what is the ratio of the number of bottles of coke sfiso buys

Answers

The ratio of the number of bottles of coke sfiso buys to cupcakes is 3 :5.

What are ratios?

Ratio expresses the relationship between two or more numbers. It shows the number of times that one value is contained within another value. The sign used to represent ratios are :.

Ratio of coke bottles to cupcakes = 36 : 60

= 3 : 5

To learn more about ratios, please check: https://brainly.com/question/25927869

Help me plzzzzzz !!!!!!!!

Help me plzzzzzz !!!!!!!!

Answers

Answer:

so the answer is 0.346

Step-by-step explanation:

3 times 0.1= 0.3

4 times .01=0.04

6 times 0.001= 0.006

Other Questions
in the decision-making style, the leader makes the decision without input from subordinates. group of answer choices delegated consultative democratic autocratic ,SJhfgaiuehrg;oiaerhgoaw ? Which graph or equation represents a nonproportional relationship?AOn coordinate plane A, a line goes through points (negative 2, 0) and (0, 1).BOn coordinate plane B, a line goes through points (0, 0) and (2, negative 2).C0.375xDy = StartFraction 5 Over 9 EndFraction xABCD draw the electron dot formula for silicon disulfide, sis2. how many nonbonding electron pairs are in a silicon disulfide molecule? find the ratios and reduce them in their lowest terms. 1m and 75 cm How can studying individuals with damage to a particular brain region provide insight into the normal function of that region? As a religious faith, Candombl appropriates beliefs from both T/F. Capacity increases are usually acquired in fairly large "chunks" rather than smooth increments. name the following covalent compounds. a. seo2 b. sii4 c. as2o5 d. p4s3 In a cookie jar containing 6 chocolate chip cookies, 8 wafer cookies and 10 double chocolate cookies, what is the probability that a person who isn't looking when they get a cookie will get a chocolate chip cookie? In "The Nose" by Nikolai Gogol, which statement is a piece of leads you to infer that Ivan Jakovlevitch is often blamed for things that are not his fault? Gabriella swims downward 5 meters per second for 3 seconds. She then swims up 5 meters toward the surface of the water a: write an expression to represent the total distance Gabriella travelsb:what is the total distance Gabriella travels? I need a draft malcolm x essay During the 18th century, the British were heavily dominant in the southern portion of North America.Please select the best answer from the choices providedTFPlease help, and answer with an honest answer. help!! will give brainliesttt What do the Karuk and Maidu peoples have in common?OA. They both grew crops.B. They both lived in large, permanent villages.OC. They both lived in southern California.OD. They both did artistic basket weaving. Question: The organelle responsible for photosynthesis is the _________a) Lysosome b) Chloroplastc) Mitochondrion d) Nucleus Gravity would cause the rain falling in which two locations to drain into the area B priya found x=3 and x=-1 as solutions to 3x^2-6x-9=0. Is she correct sow how you know Which prediction does this passage best support Moses and his stories?.